Legal Forms Affidavit Of Loss

Justyn Resume Ideas Gallery

Legal Forms Affidavit Of Loss. THAT I am executing this Affidavit to attest to the truth of the foregoing facts and to use the same for whatever legal purpose it may serve. Collection of most popular forms in a given sphere.

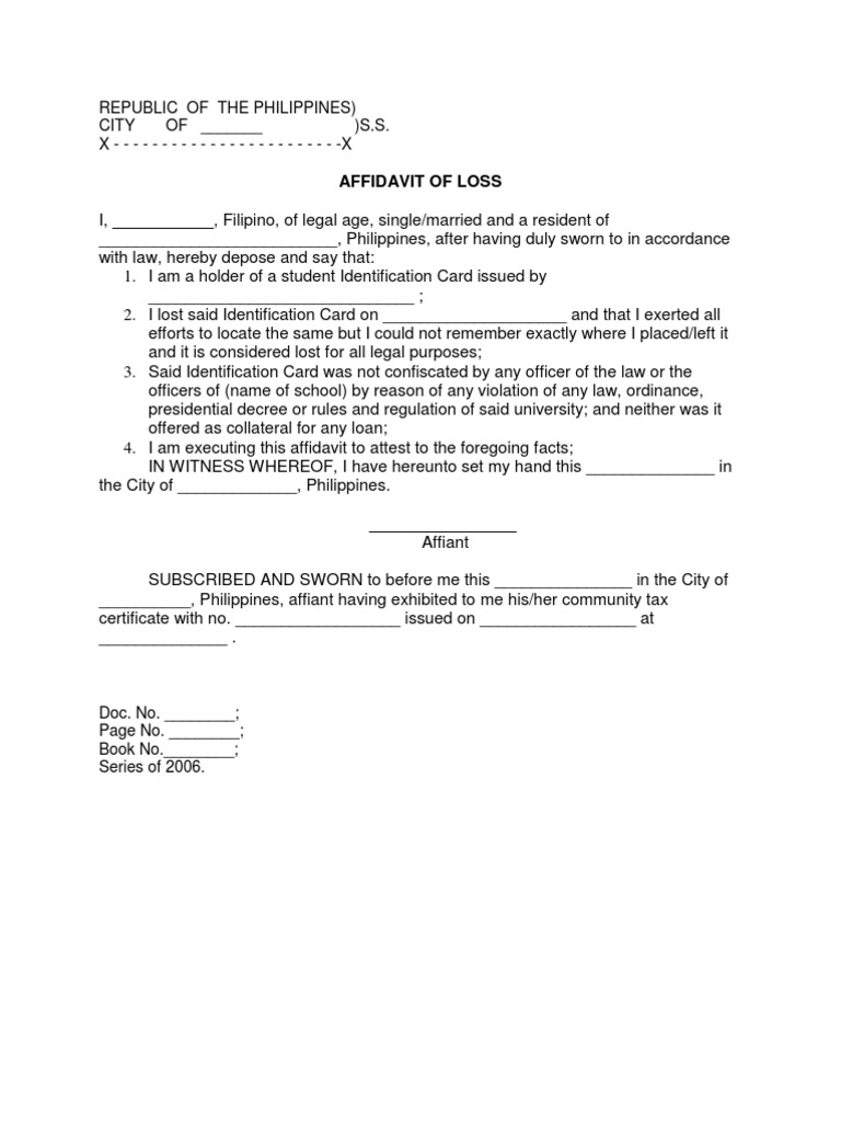
Affidavit of Loss of Identification Card
Affidavit of Loss of Identification Card (Juan Andrews)
Legal Notice for Land by Purchaser. Free sample affidavit of loss - your written statement of the loss of an item, or identification document or vehicle registration forms with legal However, if you need to compile your own affidavit, then take a look at our free affidavit form further down on this page, which you can edit to suit your requirements. Fill, sign and send anytime, anywhere, from any device with pdfFiller.

Legal Notice for Dues Recovery or Application for Recovery of Dues.

For requesting replacement of lost items and official documents (IDs, Credit Cards, etc.)Full description.

Download Affidavit of Loss of Philippine Passport ...

Pinay Explorer: SSS ID Replacement

Affidavit of Loss

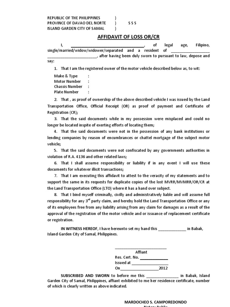
Affidavit of Loss LTO Format | Affidavit | Philippines

Affidavit of Loss Official Receipt or for Bail Bond

February | 2015 | Best Template Collection - sample ...

Affidavit of Loss | Affidavit | Birth Certificate

FREE 28+ Sample Affidavit Forms in PDF

Affidavit Form - 303 Free Templates in PDF, Word, Excel ...

Get self proving DMV affidavit form sample, standard affidavit of residency, identity or service in PDF format at forms.legal. Affidavit of loss is a legal document declaring the physical loss of a security through theft or destruction by fire/flood. Our legal forms and spreadsheets are state-specific and free to download in PDF format.