Legal Forms Affidavit Of Adverse Claim

Justyn Resume Ideas Gallery

Legal Forms Affidavit Of Adverse Claim. FindLegalForms' lawyer-drafted Affidavit and Declaration forms. Preview all of our forms before you buy.

AFFIDAVIT OF LABOR ON PATENTED MINING CLAIM FOR THE ...
AFFIDAVIT OF LABOR ON PATENTED MINING CLAIM FOR THE ... (Cecilia Christensen)
These affidavit forms are essential for specified intentions. It also has a signature block, or a place where you will sign and print. The name affidavit originates from Medieval Latin, where it stood for he has declared upon oath.

The Affidavit of Unauthorized Action by Claimant form is used to make a legal claim about the wrongful use of a negotiable instrument.

An Affidavit of Domicile is a good document to have and create for the purpose of collecting assets as well as for filing state and federal estate tax returns.

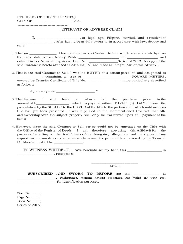
Affidavit of Adverse Claim | Affidavit | Civil Law (Common ...

FREE 50+ Affidavit Forms in PDF | MS Word | Excel

Sample Affidavit of Adverse Claim | Affidavit | Document

Affidavit of Adverse Claim | Deed | Affidavit

Adverse Claim and Notice of Lis Pendens | Free Legal ...

Affidavit Adverse Claim Sample | Affidavit | Document

11th judicial circuit small claims court

Adverse Claim | Deed | Affidavit

Free Alaska Affidavit of Heirship Form | PDF - Word

Affidavitformhub.com- Information on Affidavit Forms, Legal Forms & Sample Affidavit. Even if you follow all instructions you are not guaranteed a favorable result. This review list is provided to inform you about the document in question and assist you in its preparation.